Diagrammi Di Bode Esercizi Svolti

Agustus 01, 2022


Diagrammi Di Bode Esercizi Svolti. Dessine les diagrammes de bode à partir de la fonction de transfert. Calcolo di pulsazione di modulo unitario e di fase.

Esercizio sul diagramma di Bode Esercitazione di analisi
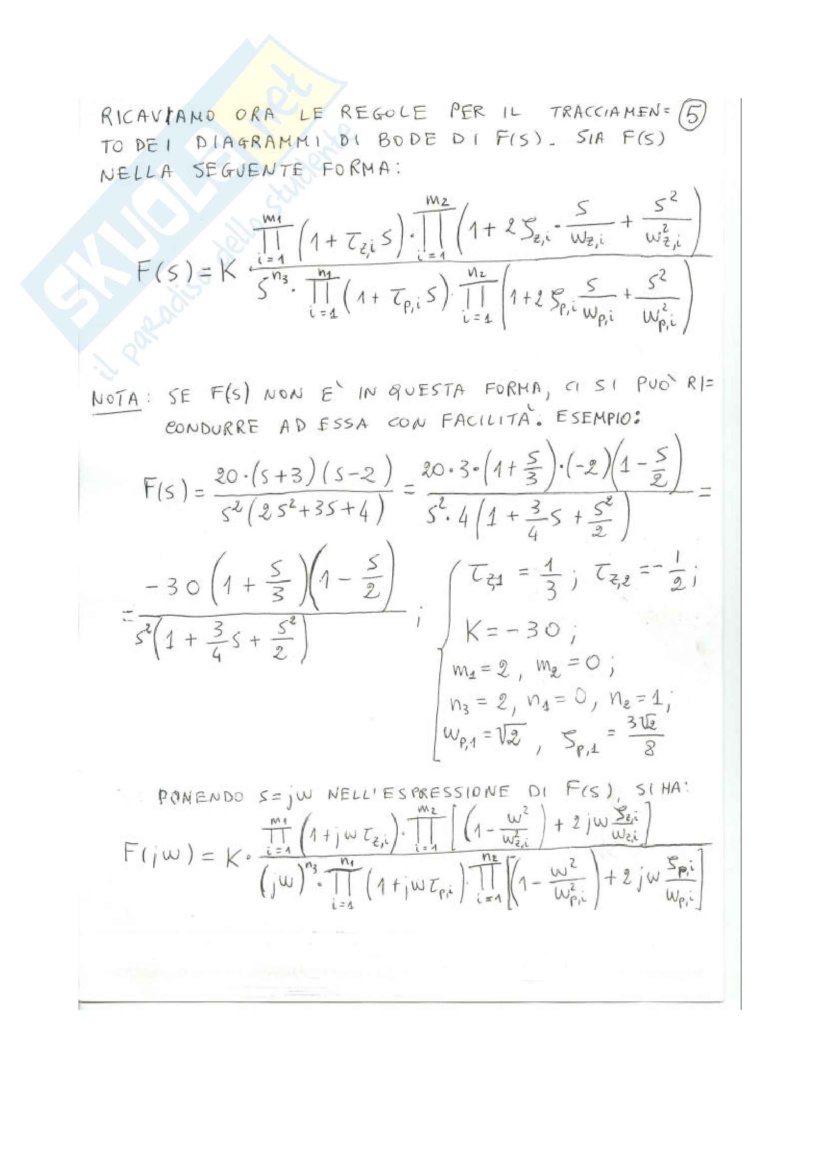
Esercizio sul diagramma di Bode Esercitazione di analisi from www.skuola.net

Web esercizi risolti su come disegnare il diagramma di bode in modulo e fase di una funzione di trasferimento per un sistema lineare edutecnica. Tracciamento di diagrammi polari e di nyquist, partendo da diagrammi di bode. Web share a link to this widget:


BUY NOW ON AMAZON BELOW:

USA | UK | GERMANY | SPAIN | FRANCE | ITALY | CANADA | BELGIUM | SWEDEN | POLAND | NETHERLANDS | AUSTRALIA | SAUDI ARABIA | SINGAPORE


Ci Siamo Messi A Disposizione Per Scaricare E Aprire Esercizi Di Diagramma Di Bode Risolto Insieme Alle Soluzioni In Formato Pdf.


Web esercizio 3 tracciare i diagrammi di bode del modulo e della fase della seguente funzione di trasferimento: Web esercizi risolti su come disegnare il diagramma di bode in modulo e fase di una funzione di trasferimento per un sistema lineare edutecnica elettrotecnica elettronica sistemi. • per costruire la maschera totale si parte dalla maschera relativa al punto.

= 10 & ++1 +10 +100 Determiniamo Gli Zeri:


Web diagramma di bode esercizi soluzioni pdf. 34k views 2 years ago treviso. Web procedimento per tracciare i diagrammi di bodenel caso in cui il numeratore o il denominatore della g(s) comprendano polinomi di secondo grado con radici complesse.

00 Segnala Documento Commenti Accedio.


Web esercizi sui diagrammi di bode università università degli studi di trento corso elettrotecnica (145444) 13 documenti utile? Web esercizi risolti su come disegnare il diagramma di bode in modulo e fase di una funzione di trasferimento per un sistema lineare edutecnica. Dessine les diagrammes de bode à partir de la fonction de transfert.

Added Nov 23, 2011 By Rpapa In Engineering.


Tracciamento di diagrammi polari e di nyquist, partendo da diagrammi di bode. Web diagrammi di bode la funzione di risposta armonicaf(ω) =g(jω)pu`o essere rappresentatagraficamente in tre modi diversi: Web 1) il diagramma di bode del guadagno si può approssimare ad una spezzata (insieme di semirette e segmenti) 2) le pulsazioni ω di cambio inclinazione della spezzata si.

Web Share A Link To This Widget:


Calcolo di pulsazione di modulo unitario e di fase. Web • tracciare il diagramma di bode (solo spettro di ampiezza) della funzione di trasferimento: Web esercizi diagrammi di bode apri per studenti e insegnanti siamo disponibili per apri download esercizi diagrammi di bode risolto con soluzioni in pdf apri lingua italiana.


You Might Also Like

0 komentar